대학원 공부노트
해(solution)와 근(root) 본문

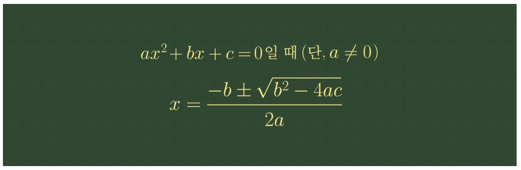
근(root)
근의 공식(quadratic formula)에서 언급되는 그 근(root)을 말한다.
'근원(根原)'의 '근(根)'과 동일한 한자이며 기원(root)을 의미한다. 또는 방정식을 만족하는 미지수의 값을 뜻한다.
해와 차이라면, 근은 다항식에서의 해로 국한될 수 있다.
물론 이때 루트는 우리가 아는 그 루트(제곱근, square root)와 구분해야 함을 유의하자.
하지만, 영어에서도 'square root'라고 하듯 제곱근 역시 어떤값의 뿌리를 의미한다는 것을 알 수 있다.
예를 들어, '8의 세제곱근은 2'이다. (8의 뿌리가 2에 있다는 말로 해석하면 될 듯 하다.)
해(solution)
해는 조금 더 보편적이고 일반적인 용어이다.
따라서 부등식에서 미지수를 구할 때는 근이라 하지 않고 해라고 한다.
방정식 이상의 수학 문제를 풀 때 'solve'라 하듯 주어진 문제에 대한 해결책(solution)이라 할 수 있다.
한자로도 '풀 해(解)'에서 나온 것이다.
'언어' 카테고리의 다른 글
| 재적과 재학의 차이 (0) | 2022.08.30 |
|---|---|
| 공식(formula)과 방정식(equation) (0) | 2022.07.22 |
| 법칙(law)과 이론(theory) (1) | 2022.07.04 |
| 이메일 CC(Carbon Copy) (0) | 2022.06.19 |
| 맞춤법: 붓다 붇다 (0) | 2022.06.18 |
Comments